Please take a look at the handout solutions for further understanding of concepts that were unclear to you in class. handout1.jpg handout2.jpg (Oxid. number method) handout3.jpg
Please complete the following problem (not hard at all :P) for homework using either of the two methods from class and we will take it up next class!
Extra Practice Problem: When iron pyrites, waste products from coal mining are exposed to the environment, their sulfur content is oxidized to sulfuric acid. This creates the environment problem known as acid mine drainage. Balance the equations for two of the main reactions involved.
a) FeS2(s) + O2 + H2O à Fe 2+ + SO4 2- + H+
b) FeS2(s) + Fe 3+ +H2O à Fe 2+ + SO4 2- + H+
April 26th, 2010~ Acids and Bases Introduction
In your category, please do the following:
Give a definition (1-3 sentences)
Give a specific AND generic example if applicable
Give a diagram or picture if applicable
Create one question for the class to solve
1. Properties of Acids and Bases 2. Arrhenius Theory (STOP DELETING OUR STUFF!!!!) A theory described by Svante Arrhenius that describes properties of acids and bases in aqueous solutions. In an aqueous solution an acid disassociates to produce hydrogen ions and a base disassociates to produce hydroxyl ions. The product of an acid and a base is a salt and water.
When HCl and NaOH combine in equal proportion the H+ and OH- ions dissociate and combine with each other to produce water. The Chlorine and sodium ions also combine to form a salt.
HCl + NaOH à H2O + NaCl
H A + B OH à H2O + AB
An acid combined with a base in an aqueous solution will neutralize and produce water and a salt.
QUESTION: What will be the products of a reaction in which hydrobromic acid and calcium hydroxide? Write a word and chemical equation to demonstrate your findings.
3. Bronsted-Lowry Theory
4. Molecular Structure and trends in acid strength (binary acids)
4.
Binary Acids are certain molecular compounds where hydrogen is combined with another nonmetallic element. (examples:HCl, HBr, HI)
The strengths of the acids depend on solvation of the initial acid, the H-X bond energy, the electron affinity energy of X, and the solvation energy of X. The lower the electronegativity ofn the non-metallics, the more the acid will ionize producing a stronger acid.
HA ---> H+ + A-
Image: see pg. 552 (weak acids) 534 (strong acids)
Which is the strongest acid :
a)HCl,
b)HI,
c)HF
5. Molecular Structure and trends in acid strenght (oxy acids)
Definition:
contains oxygen
has at least one hydrogen atom bound to oxygen
forms an ion by the loss of one or more protons.
has at least one hydrogen atom bound to oxygen
forms an ion by the loss of one or more protons.
The electronegativity of the central atom (E) and the number of O atoms determine oxoacid acidity. With the same central atom E, acid strength increases as the number of oxygen attached to E increases. With the same number of oxygens around E, acid strength increases with the electronegativity of E.
Specific Example: HNO3 (Nitric Acid)
Generic Example: HaXbOc (where H is hydrogen, X is an element other then hydrogen or oxygen, and O is oxygen)
Diagram:
Question: Considering HClO3 what is it called when:
a) Add an oxygen
b) Nothing is changed
c) Remove an oxygen
d) Remove 2 oxygens
Answer Key:
Relationship
Relationship
General Name
Example Name
Example Formula
one more oxygen atom than (root)ic
per(root)ic acid
perchloric acid
HClO4
(root)ic acid
chloric acid
HClO3
one less oxygen atom than (root)ic
(root)ous acid
chlorous acid
HClO2
two less oxygen atoms than (root)ic
hypo(root)ous acid
hypochlorous acid
HClO
6. Calculations with acids and bases
phscale.jpg
The pH determines how acidic/basic a substance is. Litmus paper can also be used to determine the pH depending on what colour the paper turns into.
pH = -log10[H+] [H+] = 10^-pH
Example: Calculate the pH for a specific [H+]. Calculate pH given [H+] = 1.4 x 10^-5 M pH = -log10[H+] pH = -log10(1.4 x 10^-5) pH = 4.85
Example: Calculate [H+] from a known pH. Find [H+] if pH = 8.5 [H+] = 10^-pH [H+] = 10^-8.5 [H+] = 3.2 x 10-9 M
QUESTION: What is the [H+] of a substance when the pH is 6.4??
Acid-Base Titrations
Key Concepts:
acid-base reactions involve a proton transfer
the acid donates a proton to the base
acid-base reactions are also known as neutralisation reactions
acid + base -----> salt + water
acid A + base B -----> conjugate acid of base B + conjugate base of acid A(Bronsted-Lowry Theory)
H+ + OH- ------> H2O is the most general neutralisation reaction
Equivalence point is the point at which the moles of H+ is equal to the moles of OH-
An indicator is used to show the equivalence point during a titration
A titration involves the progressive addition of one reactant from a burette(usually the acid), to a known volume of the other reactant in a conical flask(usually the base)
Calculations
Write the balanced chemical equation for the reaction
Extract all the relevant information from the question
Check that data for consistency, for example, concentrations are usually given in M or mol L-1 but volumes are often given in mL. You will need to convert the mL to L for consistency. The easiest way to do this is to multiply the volume in mL x 10-3
Calculate the moles of reactant (n) for which you have both the volume(V) and concentration(M) : n = M x V
From the balanced chemical equation find the mole ratio known reactant : unknown reactant
Use the mole ratio to calculate the moles of the unknown reactant
From the volume(V) of unknown reactant and its previously calculated moles(n), calculate its concentration(M): M = n ÷ V
Example:
30 mL of 0.10M NaOH neutralised 25.0mL of hydrochloric acid.
Determine the concentration of the acid.
1. 30 mL of 0.10M NaOH neutralised 25.0mL of hydrochloric acid.
Determine the concentration of the acid
Write the balanced chemical equation for the reaction
NaOH(aq) + HCl(aq) -----> NaCl(aq) + H2O(l)
Extract the relevant information from the question: NaOH V = 30mL , M = 0.10M HCl V = 25.0mL, M = ?
Check the data for consistency NaOH V = 30 x 10-3L , M = 0.10M HCl V = 25.0 x 10-3L, M = ?
Calculate moles NaOH
n(NaOH) = M x V = 0.10 x 30 x 10-3 = 3 x 10-3 moles
From the balanced chemical equation find the mole ratio
NaOH:HCl
1:1
Find moles HCl
NaOH: HCl is 1:1
So n(NaOH) = n(HCl) = 3 x 10-3 moles at the equivalence point
Calculate concentration of HCl: M = n ÷ V
n = 3 x 10-3 mol, V = 25.0 x 10-3L
M(HCl) = 3 x 10-3 ÷ 25.0 x 10-3 = 0.12M or 0.12 mol L-1
Question:
50mL of 0.2mol L-1 NaOH neutralised 20mL of sulfuric acid.
Determine the concentration of the acid.
Answer: 0.25M or 0.25 mol L-1
7. Lewis Theory
50mL of 0.2mol L-1 NaOH neutralised 20mL of sulfuric acid.
Determine the concentration of the acid.
Answer: 0.25M or 0.25 mol L-1
7. Lewis Theory
Acid:
Corrosive ('burns' your skin)
Sour taste (e.g. lemons, vinegar)
Contains hydrogen ions (H+) when dissolved in water
Has a pH less than 7
Turns blue litmus paper to a red colour
Reacts with bases to form salt and water
Reacts with metals to form hydrogen gas
Reacts with carbonates to form carbon dioxide, water and a salt
Base:
Hydrochloric acid (HCl) in gastric juice
Sulphuric acid (H2SO4)
Nitric acid (HNO3)
Carbonic acid in softdrink (H2CO3)
Uric acid in urine
Ascorbic acid (Vitamin C) in fruit
Citric acid in oranges and lemons
Acetic acid in vinegar
Tannic acid (in tea and wine)
Tartaric acid (in grapes)
Diagram:
Question:
What's a neutralization reaction? (also: what's your favourite colour?)
2. Arrhenius Theory
3. Bronsted-Lowry Theory
4. Molecular Structure and trends in acid strength (binary acids)
5. Molecular Structure and trends in acid strenght (oxy acids)
6. Calculations with acids and bases
7. Lewis Theory
7. Lewis Theory
In the early 1920's, G.N. Lewis expanded the Bronsted-Lowry model to encompass a number of substances that would not normally be classified as Bronsted-Lowry acids or bases. A Lewis acid is an electorn-pair acceptor and a Lewis base is an electron-pair donor. In order to act as a Lewis base, a substance must possess a non-bonded pair of electrons in one of its orbitals. In order to act as a Lewis acid, a substance must possess an empty valence orbital that may accept (share) a pair of non-bonding valence electrons from a Lewis base.
A + B = AB <--- adduct
external image =Untitled.jpg
|| external image =Untitled.jpg ||
For example:
external image ncontent
|| external image ncontent ||
Question: In the following reaction, which is the lewis acid and which is the lewis base? HINT: Draw the VSPER diagrams.
Atomic Radius
Atomic radius decreases as the number of protons increase.
The radius increases when new layers are added.
The radius increases a lot when going from the p orbital to the next s orbital.
The radius size of the atoms arranged by the periodic table looks like a snowman.
Ionization Energy
A + I.E. = A+ + e-
The ioniztion energy is the energy needed to remove an electron from a neutral atom.
Ionization energy increases when moving right on the periodic table and when moving up.
Electron Affinity
The energy released when adding an electron to an atom.
Represented by the equation
A + electron = A(negative) + E.A.
Electronegativity
Chemical property describing an atom's ability to attract electrons
We can classify the electronegativity of atoms and
and determine whether the molecule is polar covalent, covalent, or ionic. (As described below)
Covalent if electronegativity < 0.4,
polar covalent if 0.4 <electronegativity < 1.7,
ionic if > 1.7.
Effective Nuclear Charge -net positive charge on electrons
-the term "effective" explains the shielding of the outer electrons by the inner electrons
-In the hydrogen atom, sole electron recieves full positive charge of nucleus
-In all other atoms, effective nuclear charge can be calculated with the following equation:
Zeff = Z-S
where: Z is the number of protons and S is the number of nonvalence electrons
:)
Second and Third Ionization Energy
- The amount of energy spikes when passing a noble-gas configuration
- Can be referred to as "electron-binding energy"
- The smaller the atomic radius, the harder it is to remove an electron, and the more energy is required to remove it.
(Caused by stronger attraction to positively charged nucleus)
- As the distance from the nucleus increases, the amount of energy necessary to remove the electron decreases.
- The energy required to remove a second or third electron from an atom is higher than that required to remove the first.
- Usually applies to removing electrons from singly or doubly charged ions.
March 4th ~ Chemical Bonding and Intermolecular Forces Questions
Answer the general questions below about chemical bonding to help understand the difference between intermolecular and intramolecular forces. Intramolecular Forces: A) Ionic Bonding
Why do ionic bonds form between metal and non-metal atoms? Manuel - Ionic bonds between metals and non-metals occur because the metals have a surplus of electrons in terms of a full valence shell and non-metals are lacking electrons in terms of a valence shell. So metals give electrons to the non-metals, changing them both into ions with identical opposite charges. The now positive metal and negative non-metal are attracted due to the opposing charges and thus an ionic bond is formed.
Which blocks in the periodic table do the atoms in an ionic bond typically come from? Simone- The s block and the p block.
What are the properties of ionic solids? Ionic solids tend ts be a compound of non-metals and metals. Ionic solids are made up in a checkerboard fasion alternating between possitively and negatively charged particles. Ionic substances are more stable than molecular substances and are harder to break down.
Why do ionic compounds generally have high melting and boiling points? Ionic compounds are made up of two atoms of with opposite charges; negative and positive. Since opposite charges attract each other, the ionic compounds have a strong bond. Thus making it harder to destroy these bonds because it takes up more energy to break them up.
How is the lattice energy related to the formation of an ionic bond? Tiana Lattice energy is the energy given off in the formation of an ionic compound. In crystalline compounds, the net balence of forces (positive metal ions and negative nonmetal ions) is also called the LATTICE ENERGY.
X+(g) + Y-(g) → XY(s) + Lattice Energy
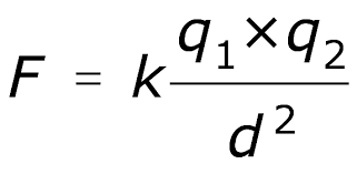
According to Coulomb’s Law, the force of attraction, F, between two oppositely charged particles of charge magnitude q is related the distance between them, d, by the following equation:
See full size image
How would the magnitude of the charge on the oppositely charged ions, and the internuclear distance between in ions in the crystal lattice, affect the force of attraction between the ions? Tate Covalent Bonding
“Covalent bonding involves a balance between the forces of attraction and repulsion that act between the nuclei and electrons of atoms”. Explain this statement. Conrad -for a covalent bond to form, the repulsion of the electrons of the different atoms must not be stronger than the attraction of the protons and electrons.
How is a covalent bond formed according to the hybridized orbital theory? Sakina When hybrid orbitals are formed, it becomes easier for the atoms to form covalent bonds. The s orbitals and p orbitals combine to form the sp orbitals which contain large lobes. These lobes are able to overlap with other atoms.
What are the two types of possible bonds and what is the difference between them? Alissa Sigma Bond is a bond created by the end -to-end overlap of atomic orbitals, while a Pi bond is a bond created by the side -by-side (or parallel) overlap of atomic orbitals, usually p orbitals.
Which is stronger? A sigma bond or a pi bond? Why? Qingda - Asigma bond is stronger, because it is head on, while the pi bond isn't.
Rank the bonds in terms of bond strength (stored potential energy) single, double, triple.Reilly
Bond
of Electons
Strength of Bond
Bond Order
Bond Length
Stored Potential Energy
Single
2
Weak
1
Long
Little
Double
4
2
Triple
6
Strong
3
Short
Lot
What are the properties of covalent bonds? Vlad
Covalent bonds are bonds that form between two or more atoms in which the valence electrons are shared between the atoms. There are two types of covalent bonds, covalent, and polar-covalent. Covalent bonds only occur between two or more non-metals. Covalent bonds are stronger than ionic bonds as the atoms want to remain stable and if the bonds are broken then the atoms lose their full valence shell which they do not like to do.
Why are the melting and boiling points of covalent compounds lower than those of ionic compounds? Danielle
The forces holding covalent compounds together are much weaker than the forces (intermolecular) between ionic compounds. This means that much less energy is required to seperate the atoms of a covalent compound, leading to lower melting and boiling points. 7. What is a polar covalent bond? Andy A polar covalent bond is a covalent bond where the electrons are held closer to one atom than the other (to the one with the highest electronegativity). This kind of bond will create a positively charged end and a negatively charged end to the molecule. These bonds generally happen between molecules where the difference in electronegativity is less that 1.7 (where it's still under 50% ionic), but greater than 0. Metallic Bonding
How do metal atoms bond together? The outer-most orbital of the each atom overlaps with orbitals surrounding it. Electrons then become detached from their original atom and are then said to be "delocalised". The seperate atoms are held together because of the attraction between the delocalised electrons and the positive particles within each atom's nucleus.
Why is metallic bonding often described as positive ions in a “sea” of electrons? Nura- A metal's electrons delocalize from the individual atoms and occupy a single "orbital" that belongs to the metallic crystal as a whole. An analogy for this would be protons within this 'sea' of delocalized electrons. This theory is supported by the fact that metals are conductors of electricity.
Why are the electrons free to move? Please explain using orbital theory. David
How does the free-electron model explain the following physical properties? Jia Hua
a) Metals are excellent conductors of heat and electricity.
b) Metals tend to bend rather than break When a piece of metal is hammered or stretched, the atoms slide or roll past one another. The metal atoms rearrange themselves within the “electron sea” to assume the new shape without breaking their metallic bonds. c) Almost all metals are solids at room temperature. The hardness and melting point of a metal depend to a large extent on how many valence electrons the metal has to participate in metallic bonding. The greater the number of valence electrons, the more firmly the metal ions are held in place. Moving left to right across a period, the hardness and melting points of metals generally increases as the number of valence electrons available for metallic bonding increases. So most metals are solid at room temperature.
What is an alloy? Alloys are solid solutions made of one or more metallic elements.
Why do alloys have different properties than pure metals? Please give one example. Tania
Intermolecular Forces
What are the major types of intermolecular forces? Hasha: hydrogen bonds, dipole-dipole interactions, dispersion forces (london forces, weak intermolecular forces, van der waal's forces)
Rank these forces from strongest to weakest. Claire
What are the two requirements for a molecule to have a dipole? Ben
The molecule can not have a centre of symmetry and the non-symmetric atoms must have different electronegativity.
List three molecules that have a dipole and three molecules that do NOT have a dipole. Scott
Look at Figure 11 on page 263 of your textbook. Write a short paragraph using at least the following words plus any others you may want to add. Peter
…hydrogen bonding, crystal lattice, interstitial spaces, methane molecule, global warming, greenhouse gas, arctic ice… EVERYBODY DISCUSS So…..What is the difference between an intramolecular and an intermolecular force???? Explaining exceptions to the general trends in the Periodic Table The blips (drops) in the ionization energy trend
May 12, 2010 Balancing Redox Reactions
Here are the handouts from class today:Balancing Redox Reactions-Handout.doc
Please take a look at the handout solutions for further understanding of concepts that were unclear to you in class.
handout1.jpg
handout2.jpg (Oxid. number method)
handout3.jpg
Group Questions.doc
Solutions001.jpg
Solutions002.jpg
Here is a link to an online practice program for balancing redox reactions:
http://chemistry.csudh.edu/lechelpcs/balanceredoxcsn7.html
Here is a short clip:
100 Greatest Discoveries: Electrochemistry
Please complete the following problem (not hard at all :P) for homework using either of the two methods from class and we will take it up next class!
Extra Practice Problem:
When iron pyrites, waste products from coal mining are exposed to the environment, their sulfur content is oxidized to sulfuric acid. This creates the environment problem known as acid mine drainage. Balance the equations for two of the main reactions involved.
a) FeS2(s) + O2 + H2O à Fe 2+ + SO4 2- + H+
b) FeS2(s) + Fe 3+ +H2O à Fe 2+ + SO4 2- + H+
April 26th, 2010~ Acids and Bases Introduction
In your category, please do the following:1. Properties of Acids and Bases
2. Arrhenius Theory (STOP DELETING OUR STUFF!!!!)
A theory described by Svante Arrhenius that describes properties of acids and bases in aqueous solutions. In an aqueous solution an acid disassociates to produce hydrogen ions and a base disassociates to produce hydroxyl ions. The product of an acid and a base is a salt and water.
When HCl and NaOH combine in equal proportion the H+ and OH- ions dissociate and combine with each other to produce water. The Chlorine and sodium ions also combine to form a salt.
HCl + NaOH à H2O + NaCl
H A + B OH à H2O + AB
An acid combined with a base in an aqueous solution will neutralize and produce water and a salt.
QUESTION: What will be the products of a reaction in which hydrobromic acid and calcium hydroxide? Write a word and chemical equation to demonstrate your findings.
3. Bronsted-Lowry Theory
4. Molecular Structure and trends in acid strength (binary acids)
4.
Binary Acids are certain molecular compounds where hydrogen is combined with another nonmetallic element. (examples:HCl, HBr, HI)
The strengths of the acids depend on solvation of the initial acid, the H-X bond energy, the electron affinity energy of X, and the solvation energy of X. The lower the electronegativity ofn the non-metallics, the more the acid will ionize producing a stronger acid.
HA ---> H+ + A-
Image: see pg. 552 (weak acids) 534 (strong acids)
Which is the strongest acid :
a)HCl,
b)HI,
c)HF
5. Molecular Structure and trends in acid strenght (oxy acids)
Definition:
has at least one hydrogen atom bound to oxygen
The electronegativity of the central atom (E) and the number of O atoms determine oxoacid acidity. With the same central atom E, acid strength increases as the number of oxygen attached to E increases. With the same number of oxygens around E, acid strength increases with the electronegativity of E.
Specific Example: HNO3 (Nitric Acid)
Generic Example: HaXbOc (where H is hydrogen, X is an element other then hydrogen or oxygen, and O is oxygen)
Diagram:
Question: Considering HClO3 what is it called when:
a) Add an oxygen
b) Nothing is changed
c) Remove an oxygen
d) Remove 2 oxygens
Answer Key:
Relationship
6. Calculations with acids and bases
The pH determines how acidic/basic a substance is. Litmus paper can also be used to determine the pH depending on what colour the paper turns into.
pH = -log10[H+]
[H+] = 10^-pH
Example:
Calculate the pH for a specific [H+]. Calculate pH given [H+] = 1.4 x 10^-5 M
pH = -log10[H+]
pH = -log10(1.4 x 10^-5)
pH = 4.85
Example:
Calculate [H+] from a known pH. Find [H+] if pH = 8.5
[H+] = 10^-pH
[H+] = 10^-8.5
[H+] = 3.2 x 10-9 M
QUESTION:
What is the [H+] of a substance when the pH is 6.4??
Acid-Base Titrations
Key Concepts:
acid-base reactions involve a proton transfer
the acid donates a proton to the base
acid-base reactions are also known as neutralisation reactions
acid + base -----> salt + water
acid A + base B -----> conjugate acid of base B + conjugate base of acid A(Bronsted-Lowry Theory)
H+ + OH- ------> H2O is the most general neutralisation reaction
Equivalence point is the point at which the moles of H+ is equal to the moles of OH-
An indicator is used to show the equivalence point during a titration
A titration involves the progressive addition of one reactant from a burette(usually the acid), to a known volume of the other reactant in a conical flask(usually the base)
Calculations
- Write the balanced chemical equation for the reaction
- Extract all the relevant information from the question
- Check that data for consistency, for example, concentrations are usually given in M or mol L-1 but volumes are often given in mL. You will need to convert the mL to L for consistency. The easiest way to do this is to multiply the volume in mL x 10-3
- Calculate the moles of reactant (n) for which you have both the volume(V) and concentration(M) : n = M x V
- From the balanced chemical equation find the mole ratio known reactant : unknown reactant
- Use the mole ratio to calculate the moles of the unknown reactant
- From the volume(V) of unknown reactant and its previously calculated moles(n), calculate its concentration(M): M = n ÷ V
Example:30 mL of 0.10M NaOH neutralised 25.0mL of hydrochloric acid.
Determine the concentration of the acid.
1. 30 mL of 0.10M NaOH neutralised 25.0mL of hydrochloric acid.
Determine the concentration of the acid
- Write the balanced chemical equation for the reaction
- Extract the relevant information from the question:
- Check the data for consistency
- Calculate moles NaOH
- From the balanced chemical equation find the mole ratio
- Find moles HCl
- Calculate concentration of HCl: M = n ÷ V
Question:NaOH(aq) + HCl(aq) -----> NaCl(aq) + H2O(l)
NaOH V = 30mL , M = 0.10M HCl V = 25.0mL, M = ?
NaOH V = 30 x 10-3L , M = 0.10M HCl V = 25.0 x 10-3L, M = ?
n(NaOH) = M x V = 0.10 x 30 x 10-3 = 3 x 10-3 moles
NaOH:HCl
1:1
NaOH: HCl is 1:1
So n(NaOH) = n(HCl) = 3 x 10-3 moles at the equivalence point
n = 3 x 10-3 mol, V = 25.0 x 10-3L
M(HCl) = 3 x 10-3 ÷ 25.0 x 10-3 = 0.12M or 0.12 mol L-1
50mL of 0.2mol L-1 NaOH neutralised 20mL of sulfuric acid.
Determine the concentration of the acid.
Answer: 0.25M or 0.25 mol L-1
7. Lewis Theory
50mL of 0.2mol L-1 NaOH neutralised 20mL of sulfuric acid.
Determine the concentration of the acid.
Answer: 0.25M or 0.25 mol L-1
7. Lewis Theory
Acid:
Base:
Diagram:
Question:
What's a neutralization reaction? (also: what's your favourite colour?)
2. Arrhenius Theory
3. Bronsted-Lowry Theory
4. Molecular Structure and trends in acid strength (binary acids)
5. Molecular Structure and trends in acid strenght (oxy acids)
6. Calculations with acids and bases
7. Lewis Theory
7. Lewis Theory
In the early 1920's, G.N. Lewis expanded the Bronsted-Lowry model to encompass a number of substances that would not normally be classified as Bronsted-Lowry acids or bases. A Lewis acid is an electorn-pair acceptor and a Lewis base is an electron-pair donor. In order to act as a Lewis base, a substance must possess a non-bonded pair of electrons in one of its orbitals. In order to act as a Lewis acid, a substance must possess an empty valence orbital that may accept (share) a pair of non-bonding valence electrons from a Lewis base.
A + B = AB <--- adduct
from March 8, 2010
Atomic radius decreases as the number of protons increase.
The radius increases when new layers are added.
The radius increases a lot when going from the p orbital to the next s orbital.
The radius size of the atoms arranged by the periodic table looks like a snowman.
A + I.E. = A+ + e-
The ioniztion energy is the energy needed to remove an electron from a neutral atom.
Ionization energy increases when moving right on the periodic table and when moving up.
The energy released when adding an electron to an atom.
Represented by the equation
A + electron = A(negative) + E.A.
Chemical property describing an atom's ability to attract electrons
We can classify the electronegativity of atoms and
and determine whether the molecule is polar covalent, covalent, or ionic. (As described below)
Covalent if electronegativity < 0.4,
polar covalent if 0.4 <electronegativity < 1.7,
ionic if > 1.7.
-net positive charge on electrons
-the term "effective" explains the shielding of the outer electrons by the inner electrons
-In the hydrogen atom, sole electron recieves full positive charge of nucleus
-In all other atoms, effective nuclear charge can be calculated with the following equation:
Zeff = Z-S
where: Z is the number of protons and S is the number of nonvalence electrons
:)
- The amount of energy spikes when passing a noble-gas configuration
- Can be referred to as "electron-binding energy"
- The smaller the atomic radius, the harder it is to remove an electron, and the more energy is required to remove it.
(Caused by stronger attraction to positively charged nucleus)
- As the distance from the nucleus increases, the amount of energy necessary to remove the electron decreases.
- The energy required to remove a second or third electron from an atom is higher than that required to remove the first.
- Usually applies to removing electrons from singly or doubly charged ions.
March 4th ~ Chemical Bonding and Intermolecular Forces Questions
Answer the general questions below about chemical bonding to help understand the difference between intermolecular and intramolecular forces.
Intramolecular Forces:
A) Ionic Bonding
X+(g) + Y-(g) → XY(s) + Lattice Energy
How would the magnitude of the charge on the oppositely charged ions, and the internuclear distance between in ions in the crystal lattice, affect the force of attraction between the ions? Tate
Covalent Bonding
- What are the properties of covalent bonds? Vlad
- Why are the melting and boiling points of covalent compounds lower than those of ionic compounds? Danielle
The forces holding covalent compounds together are much weaker than the forces (intermolecular) between ionic compounds. This means that much less energy is required to seperate the atoms of a covalent compound, leading to lower melting and boiling points.Covalent bonds are bonds that form between two or more atoms in which the valence electrons are shared between the atoms. There are two types of covalent bonds, covalent, and polar-covalent. Covalent bonds only occur between two or more non-metals. Covalent bonds are stronger than ionic bonds as the atoms want to remain stable and if the bonds are broken then the atoms lose their full valence shell which they do not like to do.
7. What is a polar covalent bond? Andy
A polar covalent bond is a covalent bond where the electrons are held closer to one atom than the other (to the one with the highest electronegativity). This kind of bond will create a positively charged end and a negatively charged end to the molecule. These bonds generally happen between molecules where the difference in electronegativity is less that 1.7 (where it's still under 50% ionic), but greater than 0.
Metallic Bonding
- How does the free-electron model explain the following physical properties? Jia Hua
a) Metals are excellent conductors of heat and electricity.b) Metals tend to bend rather than break
When a piece of metal is hammered or stretched, the atoms slide or roll past one another. The metal atoms rearrange themselves within the “electron sea” to assume the new shape without breaking their metallic bonds.
c) Almost all metals are solids at room temperature.
The hardness and melting point of a metal depend to a large extent on how many valence electrons the metal has to participate in metallic bonding. The greater the number of valence electrons, the more firmly the metal ions are held in place. Moving left to right across a period, the hardness and melting points of metals generally increases as the number of valence electrons available for metallic bonding increases. So most metals are solid at room temperature.
Intermolecular Forces
- What are the two requirements for a molecule to have a dipole? Ben
The molecule can not have a centre of symmetry and the non-symmetric atoms must have different electronegativity.…hydrogen bonding, crystal lattice, interstitial spaces, methane molecule, global warming, greenhouse gas, arctic ice…
EVERYBODY DISCUSS So…..What is the difference between an intramolecular and an intermolecular force????
Explaining exceptions to the general trends in the Periodic Table
The blips (drops) in the ionization energy trend
*Formal Charge*
http://www.chem.ubc.ca/courseware/330/formCharges.pdf
Some good practice for chemical bonding!
chemical bonding practice